超硫黄分子 研究用試薬 / GSSSG・NACポリスルフィド 2025/12/24
生命科学の新たな研究対象として注目されている「超硫黄分子」。硫黄代謝経路の解析、抗酸化作用・抗炎症作用の解析に有用なGlutathione Trisulfide (GSSSG)やNACポリスルフィドをご紹介します。
超硫黄分子が拓く研究の可能性
酸化ストレスや炎症、シグナル伝達経路の解明は、生命科学の重要な課題です。
これらの研究において注目されているのが、超硫黄分子 (Supersulfides) です。
近年の研究により、これらの分子は従来の硫黄化合物を上回る抗酸化作用・抗炎症作用を示すことが明らかになり、研究の幅を広げる重要なツールとして期待されています。
ペプチド研究所では、以下の超硫黄分子関連試薬を研究用試薬として提供しています。
- NAC Trisulfide (NAC-S1)
- NAC Tetrasulfide (NAC-S2)
- Glutathione Trisulfide (GSSSG)

超硫黄分子とは?
超硫黄分子は、硫黄原子が数珠つなぎのように直鎖状に連なった「カテネーション構造」を持つ分子です。体内ではシステインやグルタチオン (GSH) のチオール基に硫黄が付加し、CysSSHやGSSHといったハイドロポリスルフィド [RS(S)nH] やGSSSGといったジスルフィド型のポリスルフィド [RS(S)nSR] の形で存在しています。超硫黄分子について東北大学の赤池孝章教授の研究グループから数多くの重要な知見が報告されています。赤池教授らは、超硫黄分子が単なる代謝の副産物ではなく、CARS2 (cysteinyl-tRNA synthetase) によって能動的に合成されること、抗酸化作用やシグナル伝達に関与する重要な役割を担っていることを報告しています1,2)。
こうした研究から、超硫黄分子は酸化ストレスや炎症の調節、さらには細胞シグナル制御に関わる重要なプレーヤーであることが分かってきました。今後、生命現象や疾患機序の解明、さらには新しい治療法の開発にもつながることが期待されています。

超硫黄分子の生体内での役割
超硫黄分子は極めて高い反応性を持ち、反応する相手分子によって生体内で多様な生理機能を発揮します。
超硫黄分子の化学的特性
超硫黄分子は、生理的条件下で加水分解や求核剤・求電子剤との反応を繰り返し、硫黄原子数を自在に変化させながら多様な分子種を生成する、反応性に富んだ分子です8)。
求核性・求電子性を併せ持つ高い反応性
ハイドロポリスルフィド [RS(S)nH] は、通常求電子剤として作用しますが、プロトンが解離したパーチオレートイオン状態 (RSS−) では求核剤として機能します。このような特性により、さまざまな化学種と反応することができます。
生理的pHでの高い反応性
カテネーションによって電子環境が変化することにより、対応するチオールよりもpKaが低下することが知られています。例えばGSHとGSSHを比較すると、GSHはpKa ≈ 8.9 であるのに対し、GSSHはpKa ≈ 6.9となることが報告されています9)。その結果、GSSHでは生理的pH条件下でもパーチオレートでも存在することとなり、高い反応性を示します10)。
ダイナミックな硫黄転移反応
ポリスルフィド [RS(S)nSR] は、硫黄原子間に電子の偏りがあるため、生理的条件下でも水との加水分解による平衡状態にあります。その結果、求核剤や求電子剤と反応して硫黄原子の数を増減させながら、転移・組換え・伸長・分解が進行し、多様な超硫黄分子が連鎖的に生成・反応します。

図. 超硫黄の化学的特性
ハイドロポリスルフィド [RS(S)nH] は、プロトン化されたRSSHと、パーチオレートイオンRSS− が存在します。GSSHはpKa ≈6.9なので、生理的条件下では求核性の高いパーチオレートとしても存在することになります。またポリスルフィド [RS(S)nSR] は電荷の偏りから求核剤 (パーチオレートや水分子ほか) や求電子剤などと反応しやすいです。結果として、超硫黄分子は連鎖的に反応しながら、多様な分子種を生成します。
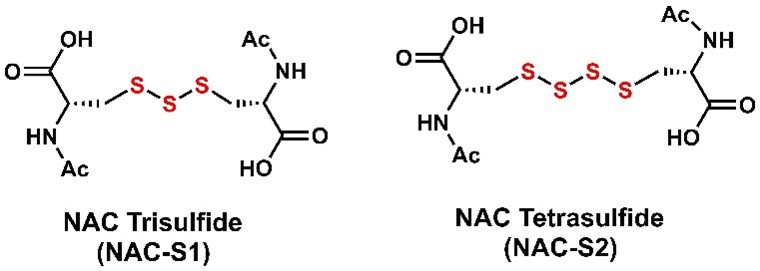
研究用試薬
NAC Trisulfide (NAC-S1) / NAC Tetrasulfide (NAC-S2)
- N-アセチルシステイン (NAC) を骨格としたポリスルフィド誘導体
- NAC Tetrasulfide (NAC-S2) は、ポリスルフィド供与体として機能する。細胞に投与すると、細胞内でGSHなどと反応し、GSSHやGSSSHなどの超硫黄分子を効率的に生成する11)
- 抗酸化作用を示す
- NAC Tetrasulfide (NAC-S2) がより強力なポリスルフィド供与体、抗酸化物質として機能する
- 活用例:内因性超硫黄分子の解析、硫黄代謝ネットワーク解析、シグナル伝達経路の探索など12,13,14)

GSSSG(Glutathione Trisulfide)
- グルタチオン (GSH) 由来のポリスルフィド、生体内に存在する
- ポリスルフィド供与体として機能
- 細胞や組織に投与することで、抗酸化・抗炎症作用を示す1)
- 弊社製品の特徴:カウンターイオンとしてTFA (トリフルオロ酢酸) を含んでおり、水に溶けやすい、 粉末状態で−20 ℃保存下で安定であることを確認済
- 活用例:疾患モデルでの抗酸化・抗炎症作用の評価15,16,17)

| Code | 品名 | 容量 |
|---|---|---|
| 3432-v | Glutathione Trisulfide | 5 mg |
| 3433-v | NAC Trisulfide | 5 mg |
| 3439 | NAC Tetrasulfide | 5 mg |
超硫黄分子研究の最前線
近年、超硫黄分子は生命科学研究における重要なテーマとなりました。反応性が高く、動的な化学特性と多彩な生理機能は、生命現象や疾患機序の解明などに大きく貢献することが期待されます。
今回ご紹介した研究用試薬は、超硫黄分子の生物学的作用を効率的に解析するために有用なツールです。酸化ストレス・炎症・シグナル伝達などの研究にぜひお役立てください。
- T. Ida et al., Proc. Natl. Acad. Sci. U.S.A., 111, 7606-7611 (2014).
- T. Akaike et al., Nat. Commun., 8, 1177 (2017).
- U. Barayeu et al., Br J Pharmacol., 183, 115-130 (2023).
- T. Zhang et al., Front.Immunol., 16, 581385 (2025).
- Y. Yamada et al., J. Biol. Chem. 298, 104710 (2023).
- M. R. Filipović et al., Chem. Rev., 118, 1253–1337 (2018).
- T. Akaike et al., Free Radic.Biol.Med., 222, 539-551 (2024).
- Seikagaku, 93, 708-716 (2021).
- H. Li et al., Redox Biol., 24, 101179 (2019).
- Seikagaku, 93, 613-620 (2021).
- T. Zhang et al., Cell Chem. Biol., 26, 686 (2019).
- H. Takeda et al., Redox Biology, 65, 102834 (2023).
- X. Sun et al., Immun Inflamm Dis., 11, e959 (2023).
- X. Li et al., Int. Immunol. 36, 641–652 (2024).
- H. Kunikata et al., Sci. Rep., 7, 41984 (2017).
- H. Tawarayama et al., Ocul. Immunol. Inflamm., 30, 789–800 (2020).
- H. Tawarayama et al., Sci. Rep., 13, 11513 (2023).

